در این فیلم آموزشی با وضعیت رسانای خنثی در میدان الکتریکی آشنا می شوید.
وضغیت رسانای خنثی در میدان الکتریکی
وقتی یک رسانای خنثی را در یک میدان الکتریکی خارجی قرار میدهیم، در مدت زمان کوتاهی الکترونهای آزاد تحت تأثیر میدان الکتریکی خارجی، طوری روی سطح خارجی توزیع میشوند (القا میشوند) که میدان الکتریکی ناشی از آنها اثر میدان خارجی را درون رسانا خنثی کند و بدین ترتیب میدان الکتریکی خالص درون رسانا صفر شود. شکل زیر یک گوی رسانای فلزی را نشان میدهد که در میدان الکتریکی خارجی قرار گرفته است. نحوه توزیع بار روی گوی به گونه ای است که میدان الکتریکی در داخل رسانا صفر شده است.
میدان الکتریکی خارجی باعث جدا شدن بارهای مثبت و منفی در دو وجه رسانا شده است، بهطوریکه میدان حاصل از این بارها، میدان خارجی در داخل رسانا را خنثی میکند. توجه کنید که دو خط هر جفت خطوط میدان نشان داده شده در داخل رسانا منطبق برهم هستند و برای آنکه دیده شوند، با فاصلۀ اندکی از هم رسم شده اند.
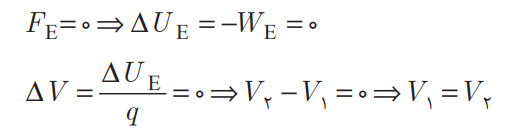
چون میدان الکتریکی درون رسانایی که در تعادل الکتروستاتیکی است برابر با صفر است، نیروی الکتریکی وارد بر هر ذره باردار در داخل رسانا نیز صفر میشود. بنابراین، کار نیروی الکتریکی در هر جابه جایی دلخواهی در داخل رسانا صفر میشود. در نتیجه همه نقاط رسانا پتانسیل یکسانی دارند. در نتیجه روابط زیر برقرار است:
برای یادگیری بهتر چگونگی وضعیت رسانای خنثی در میدان الکتریکی حتما ویدئو آموزشی را به طور کامل مشاهده کنید.
سوالات متداول
زیرا در این وضعیت در مدت زمان کوتاهی الکترونهای آزاد تحت تأثیر میدان الکتریکی خارجی، به گونه ای روی سطح خارجی توزیع میشوندکه میدان الکتریکی ناشی از آنها اثر میدان خارجی را درون رسانا خنثی کند و بدین ترتیب میدان الکتریکی خالص درون رسانا صفر شود.
با توجه به اینکه میدان الکتریکی درون رسانا برابر با صفر است، نیروی الکتریکی وارد بر هر ذره باردار در داخل رسانا نیز صفر میشود. بنابراین، کار نیروی الکتریکی در هر جابه جایی دلخواهی در داخل رسانا صفر میشود. در نتیجه همه نقاط رسانا پتانسیل یکسانی دارند.
با محتوای کتاب فرقی نداشت😂